Q1. A milkman has 20 L of pure milk. He sells 5 L of it at profit of 20% and he mixes 5 L water in remaining quantity of milk. If he sells whole quantity of mixture at cost price then find his percentage profit?
Q2. The sum of the radius and height of a cylinder is 18m. The total surface area of the cylinder is 792 m², what is the volume of the cylinder ? (in m³)
Q3. In a 90 litre mixture of milk and water, percentage of water is only 30%. The milkman gave 18 litres of this mixture to a customer and then added 18 litres of water to the remaining mixture. What is the percentage of milk in the final mixture ?
Q4. If the area of a circle is 616 cm², what would be the total surface area of a hemisphere having the same radius as the circle ?
Q5. There are two mixtures of honey and water, the quantity of honey in them being 40% and 75% of the mixture respectively. If 5 gallons of the first are mixed with 8 gallons of the second, what will be the ratio of honey to water in the new mixture ?
Directions (6-10): There are total five departments in a company. There are total 90 employees in Finance department which is 25% of total employees in the company. 2/9 of the total employees of the company are working in HR department. Employees working in Sales department is 25% more than that in HR department. Ratio between employees working in Security and Housing department is 4 : 5.
Q6. Find number of employees working in HR department is what percent more than number of employees working in Security department?
Q7. Find the average number of employees working in Sales, Finance and Housing department?
Q8. Number of employees in Housing department is how much more than number of employees in Security department?
Q9. In Security department, 40% are female employees then find total male employees working in Security department?
Q10. Ratio between total number of male and female employees in HR department is 2 : 3. Find total number of female employees working in HR department?
Directions (11-15): In each of the following questions two equations are given. Solve the equations and give answer—
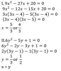
Q11. 
- Quantitative Aptitude Study Notes for Bank Exams
- 100 MCQs Data Interpretation | Download Free PDF's of DI
- Quantitative Aptitude Questions for all Competitive Exams
























RBI Grade B Apply Online 2026 Starts at ...
RBI Grade B Notification 2026 Out, Onlin...
LIC HFL Junior Assistant Online Form 202...


