IBPS RRB Quantitative Aptitude Quiz
Q1. A borrows Rs. 800 at the rate of 12% per annum simple interest and B borrows Rs. 910 at the rate of 10% per annum, simple interest. In how many years will their amounts of debt be equal?
Q2. A person deposited Rs. 400 for 2 years, Rs. 550 for 4 years and Rs. 1200 for 6 years. He received the total simple interest of Rs. 1020. The rate of interest per annum is (rate of interest in each case is same)
Q3. A certain sum of money becomes three times of itself in 20 years at simple interest. In how many years does it become double of itself at the same rate of simple interest?
Q4. The simple interest on a certain sum for 8 months at 4% per annum is Rs. 129 less than the simple interest on the same sum for 15 months at 5% per annum. The sum is:
Q5. Mohan lent some amount of money at 9% simple interest and an equal amount of money at 10% simple interest each for two years. If his total interest was Rs. 760, what amount was lent in each case?
Directions (6-10): Simplify the following problems.
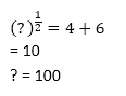
Q6. 
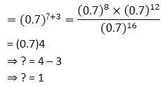
Q7.
Directions (11-15): What will come in place of (?) in the following number series problems?
Q11. 1, 4, 15, 64, 325, ?
Q12. 100, 121, 144, 169, 196, ?
Q13. 6, 3, 3, 4.5, 9, ?
Q14. 3, 4, 9, 28, 113, ?
Q15. 441, 484, 529, 576, 625, ?
- Quantitative Aptitude Study Notes for Bank Exams
- 100 MCQs Data Interpretation | Download Free PDF's of DI
- Quantitative Aptitude Questions for all Competitive Exams























Union Bank of India Apprentice Recruitme...
Union Bank Apprentice Salary 2026, Job P...
Union Bank of India Apprentice Syllabus ...


