IBPS RRB Quantitative Aptitude Quiz
Q1. The ratio between speed of a bus and a car is 4 : 11. Bus can travel 200m in 15 sec. find time taken by car to travel a distance of 528 km.
Q2. If a formula one racer goes at his normal speed, he gets 10min. late to reach his destination. If he goes at 20 km/h faster than normal speed, he reaches on time. If his destination is 480 km away from him, find his normal speed.
Q3. The ratio between speed of a deer, a wolf and a Jackal is 7 : 6 : 3 respectively. If deer can cover 105 km in 3 hr. then what is the average speed of Jackal and wolf together?
Q4. Ram can complete a race of 12000 m in 20 minutes less than that of Raj. If ratio of their speeds be 3 : 5, then what is the time taken by Ram to complete the race?
Q5. Mohit start running on a circular track of radius 14 m and completes one round with a speed of 4 m/sec. In 10 minutes how many complete rounds he would have completed?
Q6. A man covers 1/3rd of his journey by cycle at 50 km/ h, the next 1/3 by car at 30 km/h, and the rest by walking at 7 km/h. Find the average speed during the whole journey.
Q7. Two trains are running towards each-other from two opposite points A and B cross each other in 24 seconds. The speed of faster train is 66 ⅔% more than that of slower train. If speed of slower train is 54 km/hr and it crosses a pole in 12 seconds, then what is the length of faster train?
Q8.Rohan can complete a race of 960 meters in 5 min and 20 sec while Krishna can complete the same race in 4 min. What is the ratio of speed of Rohan to that of Krishna?
Q9.Raman borrowed some money at the rate of 6% p.a. for the first three years, 9% p.a. for the next five years and 13% p.a. for the period beyond eight years. If the total interest paid by him at the end of eleven years is Rs. 8160, how much money did he borrow?
Q10. A train covers a distance of 193 ⅓ km in 4 ¼ hours with one stoppage of 10 minutes, two of 5 minutes and one of 3 minutes on the way. Find the average speed of the train if stoppage time is excluded.
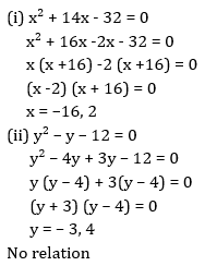
Directions (11-15): In each of these questions, two equations (I) and (II) are given. You have to solve both the equations and give answer




RBI Grade B Notification 2026 Out For 60...
RBI Grade B 2026 Exam Date Out, Check Pr...
RBI Grade B Syllabus 2026, Check Complet...


