Directions (1-15): What will come in place of question mark (?) in the following questions

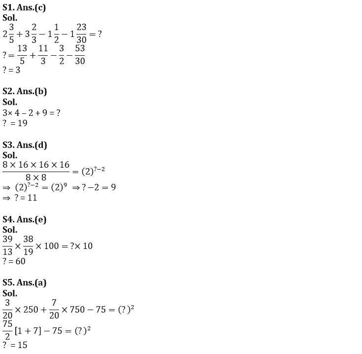
Q2. 15÷ 5× 4 – 2 = ? – 9
(a) 23
(b) 19
(c) 17
(d) 15
(e) 20

Q5. 15% of 250 + 35% of 750 – 75 = (?)²
(a) 15
(b) 16
(c) 18
(d) 10
(e) 20
Q6. 80% of ?=√(250×44+40% of 8500)
(a) 80
(b) 120
(c) 150
(d) 180
(e) 240

Q8. 20% of (40×√?)=(32)²+(16)²
(a) 160
(b) 2560
(c) 16
(d) 25600
(e) 256
Q9. ? + 13× 50 = 420 + 45% of 800 + 220
(a) 300
(b) 350
(c) 400
(d) 450
(e) 250

Q12. 52500÷7+ 64680 ÷6 = 19500-?
(a) 1220
(b) 1260
(c) 1280
(d) 1340
(e) 1390
Q13. 28.5×34+2320÷8 = (36)²- ?
(a) 51
(b) 47
(c) 43
(d) 34
(e) 37
Q14. 47×27+15600÷8+181 = ?
(a) 3320
(b) 3420
(c) 3370
(d) 3400
(e) 3460
Q15. 112.5×5+4560÷6-175×7 = ?
(a)103.5
(b)91.5
(c) 97.5
(d) 110.5
(e) 115.5
Solutions







Quantitative Aptitude Quiz For Bank Main...
Quantitative Aptitude Quiz For Bank Foun...


