Direction (1-5): Given below in each question two quadratic equations are given. Please solve and choose the correct option.



Directions (6-15): In each of these questions, two equation (I) and (II) are given. You have to solve both the equations and give answer.
(a) If x>y
(b) If x≥y
(c) If x<y
(d) If x≤y
(e) If x = y or no relation can be established between x and y



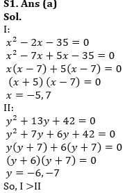
Solutions















… .









Quantitative Aptitude Quiz For Bank Main...
Quantitative Aptitude Quiz For Bank Foun...


