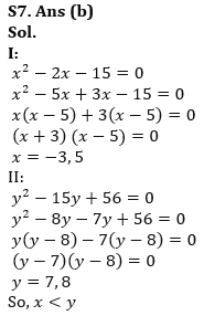
Directions (1-5):- In each of the following questions, two equations (I) and (II) are given. Solve the equations and mark the correct option:
(a) if x>y
(b) if x≥y
(c) if x<y
(d) if x ≤y
(e) if x = y or no relation can be established between x and y.

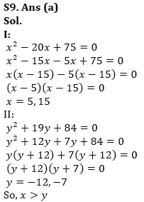
Direction (6-10): In each of the following questions, two equations (I) and (II) are given. Solve the equations and mark the correct option: (a) x>y
(b) y> x
(c) x ≥y
(d) x ≤y
(e) x =y or No relation can’t be established.


Solutions









. . . . .




Quantitative Aptitude Quiz For Bank Main...
Quantitative Aptitude Quiz For Bank Foun...


