Directions (1-15): Given below in each question two quadratic equations are given. Please solve each quantity and compare both of them and answer accordingly from the following options.
(a) x>y
(b) y> x
(c) x ≥y
(d) x ≤y
(e) x =y or No relation can’t be established.
Q1. I. 2x²+x-6=0
II. y²+6y+9=0
Q2. I. x²-4x+4=0
II. y²-10y+16=0
Q3. I. 2x²+7x+6=0
II. 3y²+11y+10=0
Q4. I. x²-2x-24=0
II. y²-12y+36=0
Q5. I. 4x²+11x+6=0
II. y²+10y+25=0
Q6. I. 4x²-20x+25=0
II. 5y²-6y-8=0
Q7. I. x²-2x-15=0
II. y²-15y+56=0
Q8. I. 10x²+19x+7=0
II. 5y²+16y+12=0
Q9. I. x²-20x+75=0
II. y²+19y+84=0
Q10. I. x²-9x-22=0
II. y²-17y+66=0
Q11. I. 4x²+19x+15=0
II. 8y²+10y+3=0
Q12. I. x²-18x+56=0
II. y²+4y-32=0
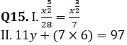
Q13. I. x²+14x-72=0
II. y²-13+36=0
Q14. I. x²-9²=12²
II. y³=3375

Solutions







. . . . .









Quantitative Aptitude Quiz For Bank Main...
Quantitative Aptitude Quiz For Bank Foun...


