Directions (1-5): Study the following data carefully and answer the questions accordingly.
7 8 5 3 8 8 9 2 4 5 2 1 4 3 7 6 6 8 9 5 7 2 5 4 7 8 6 2 5
Q1. How many even numbers that are immediately preceded by an even number and immediately followed by an odd number?
(a) Two
(b) More than three
(c) Three
(d) One
(e) None
Q2. What is the difference between the sum of the digits that are 4th, 6th and 11th from the left end and 4th, 6th and 11th from the right end?
(a) 10
(b) 7
(c) 12
(d) 8
(e) None of these
Q3. How many odd numbers that are immediately preceded by an even number?
(a) Eighteen
(b) Twelve
(c) Nine
(d) Seventeen
(e) None of these
Q4. Which of the following digit is exactly between the one which is 20th from right end and which is 8th from left end?
(a) 8
(b) 5
(c) 2
(d) 4
(e) None of these
Q5. Which of the following digit is 13th to the right of the one which is 15th from the left end?
(a) 7
(b) 2
(c) 6
(d) 5
(e) None of these
Directions (6-10): In each of the questions below, three statements are given followed by two conclusions numbered as I and II. You have to take the given statements to be true even if they seem to be at variance with commonly known facts. Read all the conclusions and then decide which of the given conclusions logically follows from the given statements disregarding commonly known facts.
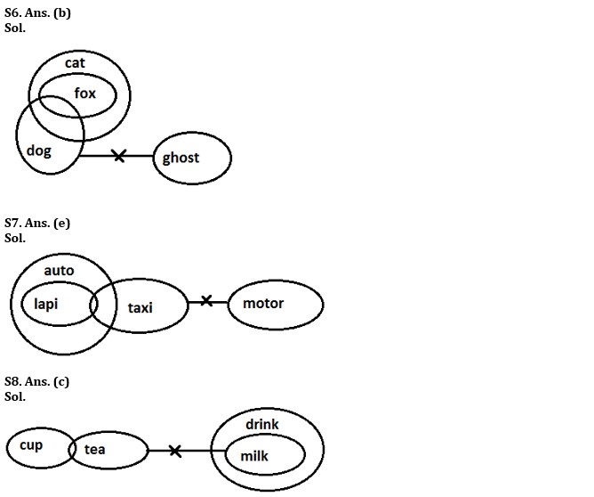
Q6. Statements: All fox is cat.
Some fox is dog.
No dog is ghost.
Conclusions: I. All ghost being cat is a possibility.
II. Some ghost is not fox.
(a) None follows
(b) Only I follows
(c) Only II follows
(d) Either I or II follow
(e) Both I and II follow
Q7. Statements: Some lapi is taxi.
All lapi is auto.
No taxi is motor.
Conclusions: I. Some auto is not motor.
II. All motor being lapi is a possibility.
(a) None follows
(b) Only I follows
(c) Only II follows
(d) Either I or II follow
(e) Both I and II follow
Q8. Statements: Some cup is tea.
No tea is milk.
All milk is drink.
Conclusions: I. Some cup is drink.
II. All tea being drink is a possibility.
(a) None follows
(b) Only I follows
(c) Only II follows
(d) Either I or II follow
(e) Both I and II follow
Q9. Statements: All red is cream.
All cream is yellow.
No yellow is pink.
Conclusions: I. All red not being pink is a possibility.
II. No cream is pink.
(a) None follows
(b) Only I follows
(c) Only II follows
(d) Either I or II follow
(e) Both I and II follow
Q10.Statements: Some sony is lava.
Some lava is nokia.
Some nokia is xiomi.
Conclusions: I. Some xiomi is lava.
II. Some lava being sony is possibility.
(a) None follows
(b) Only I follows
(c) Only II follows
(d) Either I or II follow
(e) Both I and II follow
Solutions
S1. Ans. (b)
Sol. Clearly, there are four numbers (889, 245,689, 625).
S2. Ans. (d)
Sol. Clearly, 8 is the difference between the sum of the digits.
S3. Ans. (c)
S4. Ans. (d)
Sol. Clearly, digit 4 is exactly between the one which is 20th from right end and which is 8th from left end.
S5. Ans. (b)
Sol. Clearly, digit 2 is 13th to the right of the one which is 15th from the left end.






Indian Bank SO Exam Date 2026 for 350 Po...
Union Bank of India Apprentice Recruitme...
Daily Current Affairs and GK Updates (29...


