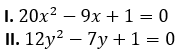
Direction (1 – 5): In each of these equations, two equations (I) and (II) are given. You have to solve both the equations and give answer among the following options.
Q6. Raghuveer can do a work in certain days. Rohan can do 3/5 th of the same work in 18 days. If Ravi, Rohan and Raghuveer together can complete the whole work in 12 days and Raghuveer is 20% more efficient than Rohan, then in how many days Ravi alone can complete the work ?
Q7. A and B started a business after investing Rs. 12,000 and Rs. 14,400 respectively. At the end of the year B gets 12% of the total profit as management fees and the rest amount is distributed between both the partners in the ratio of their investments. If total annual profit is Rs. 7,500, then find the difference between their profits.
Q8. The cost price of a mat is 33⅓% less than it’s marked price. The shopkeeper sells this mat at Rs. 350 and makes a profit of 16⅔%. If no discount is offered then find profit percentage on mat.
Q9. The ratio of sulphuric acid and alcohol in a mixture of 60 liter is a : 7. If 5 liter of alcohol is added in the mixture, the ratio of alcohol to acid becomes 8 : a, then find initial quantity of acid.
Q10. The probability of being selected of Ramu, Ram pratap and Ankur in an interview is 3/5, 2/3 and 1/4 respectively. Find the probability that at least one of them get selected.
Directions (11-15): Simplify the following problems and find the value of (?).
Q14. 981 ÷ 3 × 5 + 105 – 54 % of 1645 =?
Q15. 3/5 of? = 48% of 550 + 36% of 750 – 40% of?
- Quantitative Aptitude Study Notes for Bank Exams
- 100 MCQs Data Interpretation | Download Free PDF's of DI
- Quantitative Aptitude Questions for all Competitive Exams




JK Bank Apprentice Recruitment 2026, Onl...
International Dance Day 2026, History, I...
Union Bank of India Apprentice Recruitme...


