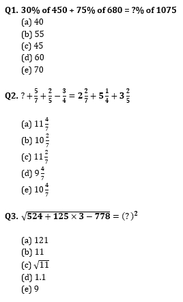
Directions (1-5): What should come in place of question mark (?) in the following questions?


Q6. 6 women alone can complete a piece of work in 10 days, whereas 10 children alone take 15 days to complete the same piece of work. How many days will 6 women and 10 children together take to complete the whole piece of work?
(a) 7 days
(b) 8 days
(c) 6 days
(d) 4 days
(e) None of these
Q7. What will be the cost of fencing the circumference of a circular field whose area is 1386 sq. m and the cost of fencing is Rs 5 per meter.
(a) Rs 660
(b) Rs 639
(c) Rs 699
(d) Rs 654
(e) None of these
Q8. The difference between 46% of a number and 35% of the same number is 169.4. What is 3/4 th of that number?
(a) 1055
(b) 1145
(c) 1065
(d) 1155
(e) None of these
Q9. A shopkeeper has goods of worth Rs 6000. He sold half of the goods at a gain of 12%. At what profit percent should he sell the remaining half of the stock that he gets 18% profit on the whole?
(a) 25%
(b) 24%
(c) 18%
(d) 21%
(e) None of these
Q10. Sum of five consecutive even numbers is 380. What is the second number in ascending order?
(a) 76
(b) 78
(c) 74
(d) 72
(e) None of these
Directions (11-15): Line-graph given below shows two type of vacancies i.e. PO and Clerk notified by SBI in five different years. Study the data carefully and answer the following questions.

Q11. Total vacancies in year 2014 is what percent more than the total vacancies in 2013 ?
(a) 45%
(b) 50%
(c) 55%
(d) 60%
(e) 65%
Q12. In year 2015, 30% of PO vacancies of 25% of clerk vacancies remained vacant after the final selection. Find the difference between the filled vacancies of PO to the filled vacancies of Clerk in year 2015.
(a) 10
(b) 20
(c) 60
(d) 40
(e) None of these
Q13. PO vacancies in 2014 are what percent of the clerk vacancies in 2012?
(a) 25%
(b) 125%
(c) 35%
(d) 135%
(e) 140%
Q14. Total vacancies in year 2012 is filled by male, female and transgender in the ratio 11 : 13 : 7. Find the number of female placed in SBI in year 2012?
(a) 520
(b) 480
(c) 450
(d) 540
(e) 580

Practice More Questions of Quantitative Aptitude for Competitive Exams:
Solutions





Practice with Crash Course and Online Test Series for IBPS Clerk Prelims 2020:
- Bank Maha Pack (1 Year Validity)
- IBPS Clerk Prime Online Test Series 2020 by Adda247
- Complete IBPS 2020 exams Video Course









CIL Management Trainee Recruitment 2026 ...
Union Bank of India Apprentice Recruitme...
OICL AO Interview Dates 2026 Out, Check ...


