Directions (1-5): In each of these questions, two equations (I) and (II) are given. You have to solve both the equations and give answer
(a) if x>y
(b) if x≥y
(c) if x<y
(d) if x ≤y
(e) if x = y or no relation can be established between x and y.
Q1. I. 3x² – 19x + 28 = 0
II. 4y² –19y + 21 = 0
Q2. I. 3x + 4y = 2
II. 6x + 2y = 2.5
Q3. I. 8x + 7y =– 60
II. 7x – 5y = –8
Q4. I. 12x² – 41x + 35 = 0
II. 3y + 25y = 49
Q5. I. x²+16x+63=0
II. y²+8y+15=0
Directions (6-10): In each of these questions, two equations (I) and (II) are given. You have to solve both the equations and give answer
(a) if x>y
(b) if x≥y
(c) if x = y or no relation can be established between x and y.
(d) if y>x
(e) if y≥x
Q6. (i) x² – 12x + 32 = 0
(ii) y² – 20y + 96 = 0
Q7. (i) 2x² – 3x – 20 = 0
(ii) 2y² + 11y + 15 = 0
Q8. (i) x² – x – 6 = 0
(ii) y² – 6y + 8 = 0
Q9. (i) x² + 14x – 32 = 0
(ii) y² – y – 12 = 0
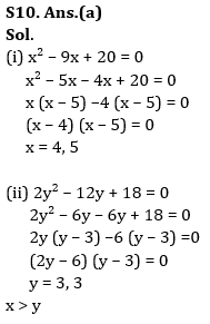
Q10.(i) x² – 9x + 20 = 0
(ii) 2y² – 12y + 18 = 0
Solutions







. .










Quantitative Aptitude Quiz For Bank Main...
Quantitative Aptitude Quiz For Bank Foun...


