Direction (1 – 5): In the following questions, two equations, I and II are given. You have to solve both the equations and give answer accordingly.
(a) if x>y
(b) if x ≥ y
(c) if x<y
(d) if x ≤ y
(e) if x=y or no relation.

Directions (6-10): In each of these questions, two equations (I) and (II) are given. You have to solve both the equations and give answer
(a) if x>y
(b) if x≥y
(c) if x = y or no relation can be established between x and y.
(d) if y>x
(e) if y≥x

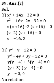
Solutions










. . . . . .






Quantitative Aptitude Quiz For Bank Main...
Quantitative Aptitude Quiz For Bank Foun...


